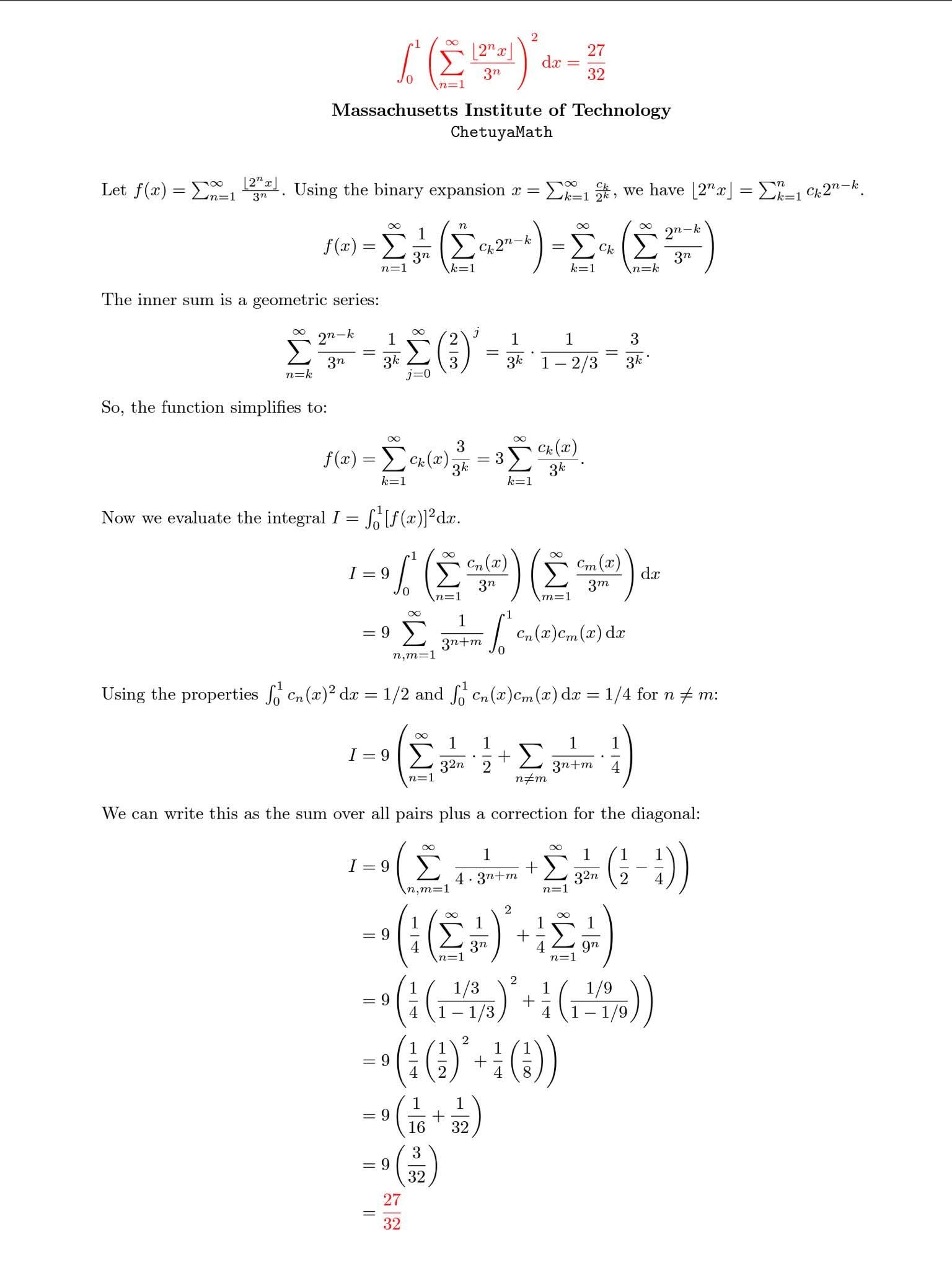
Wszystko
Najnowsze
Archiwum
- 189
źródło: 1000018161
PobierzPo prostu treść zadania jest nieprecyzyjna.
@kwanty: Treść zadania jest bardzo precyzyjna. Nauczyciel jest debilem.
- 2
źródło: 1000051351
Pobierz#peakyblinders #matematyka
źródło: IMG_3407
Pobierz
źródło: gazy-jelitowe-1
Pobierzpierdzenie przy dziewczynie dozwolone po
- 1 miesiącu razem 38.4% (28)
- 3 miesiącach razem 9.6% (7)
- pół roku razem 4.1% (3)
- roku razem 12.3% (9)
- 2 latach razem 1.4% (1)
- 5 latach razem 1.4% (1)
- 10 latach razem 8.2% (6)
- nigdy 24.7% (18)
- 4
#polska #pytanie #matematyka #pytaniedoeksperta #przegryw #pracbaza #korposwiat #kolchoz #studbaza #studia #licbaza
24
Kiedy chłopski rozum i intuicja trafiają na źle sformułowane pytanie

Film pokazuje, co się dzieje, gdy spotykają się chłopski rozum, intuicja i źle sformułowane pytanie. Intuicyjnie wielu ludzi odpowiadało ..., ale poprawny wynik to ..., Problem wynika z tego, że przy toczeniu małego okręgu wokół większego cos sie dzieje. Ale co?
z- 9
- #
- #
- #
- #
- 10
#matematyka #nauka
źródło: sriksy
Pobierz- 15
. Tylko jednostki które chcą się nauczyć mogą odnieść z tego jakąkolwiek korzyść. Tak to jest wyrzucanie pieniędzy w błoto
źródło: temp_file7715309875858043225
Pobierz- 11
Czytacie Gwern? Jeśli nie, to polecam
https://gwern.net/
- 1
- 8
8
Pytam AI- co to są Fraktale Mandelbrota?

0:00 wstęp? 1:23 co to jest? 29:43 Mandelbulber 31:52 zakończenie XaoS https://xaos-project.github.io/ Mandelbrot Iteration Orbits https://www.geogebra.org/m/BUVhcRSv#material/Npd3kBKn Mandelbulber https://github.com/buddhi1980/mandelbulber2/releases https://www.mandelbulb.com/category/introduction/
z- 0
- #
- #
- #
- #
- #
- #
- 13
#zydzi #matematyka #ciekawostki #wikipedia
źródło: 1000047007
Pobierzhttps://pl.wikipedia.org/wiki/Plus_i_minus
A. Wartość 1000 i osobno wartość 2800 dają razem 11300 zł
B. Ile zł da wartość 1300 i 4400?
C. Ile zł da wartość 1520 i 4400?
#matematyka #pytanie #kiciochpyta #pytaniedoeksperta #nauka #szkola #studia #inzynieria
- 1
#programowanie #programista15k #programista25k #pasjonat15k #pracait i trochę #matematyka

Najwięcej przyjemności sprawiało mi napisanie kodu rozwiązania które zaproponowałem a inny współpracownik twierdził ze tak sie nie da.
W drugiej kolejności to te różne customowe narzędzia automatyzujące prace innych. Czyli to co ktoś robiłby 2 tygodnie dzięki napisanemu narzędziu zajmowało np 5 minut. Czyli praca z końcowym użytkownikiem zakończona sukcesem. No i trzecia kategoria jest kod
Każde zadanie CKE jakie kiedykolwiek było na maturze + rozwiązania krok po kroku + filmy z omówieniem za 19zł XD
Nie moja strona ale znajomego, sam z tego korzystałem jest git
#matura #matura2026 #liceum #cke #matematyka

- 0
11
Dlaczego alianci odsunęli polskich kryptologów od Enigmy na boczny tor?

Latem 1939 roku trzej polscy matematycy: Marian Rejewski, Jerzy Różycki i Henryk Zygalski przekazują aliantom gotowe rozwiązanie Enigmy, modele matematyczne i projekty pierwszych bomb kryptologicznych. Dają im coś bezcennego klucz do złamania niemieckich szyfrów.A potem zostają odsunięci.
z- 0
- #
- #
- #
- #
- #
- #
- 3
Osiem miesięcy temu Bartosz Naskręcki (prodziekan Wydziału Matematyki i Informatyki Uniwersytetu Adama Mickiewicza w Poznaniu) wyraził się w sposób następujący: sztuczna inteligencja to nic więcej niż bardzo zaawansowany kalkulator. Potrafiła liczyć, ale nie rozumiała głębokiej matematyki. Prawdziwe rozumowanie matematyczne, jak powiedział, wymaga „kreatywności, intuicji i umiejętności łączenia pozornie niepowiązanych pojęć, czego maszyny wciąż nie potrafią”.
A 2 tyg. temu:
W

- 1


























Mówię tu o:
szachach na pieniądze
giełdzie papierów wartościowych
bukmacherce
źródło: shutterstock_239087053
PobierzWykop odkrywa ze nie kazdy moze lezec na plazy z laptopem xd
@Glimpse0fTheFuture: 4x nie. W szachach czy pokerze musiałbyś być w światowym topie, na giełdzie się znać, a bukmacherka to zawsze jakaś losowość.